高密校区2026年上半年拟发展学生党员名单

发布日期:2026-03-30

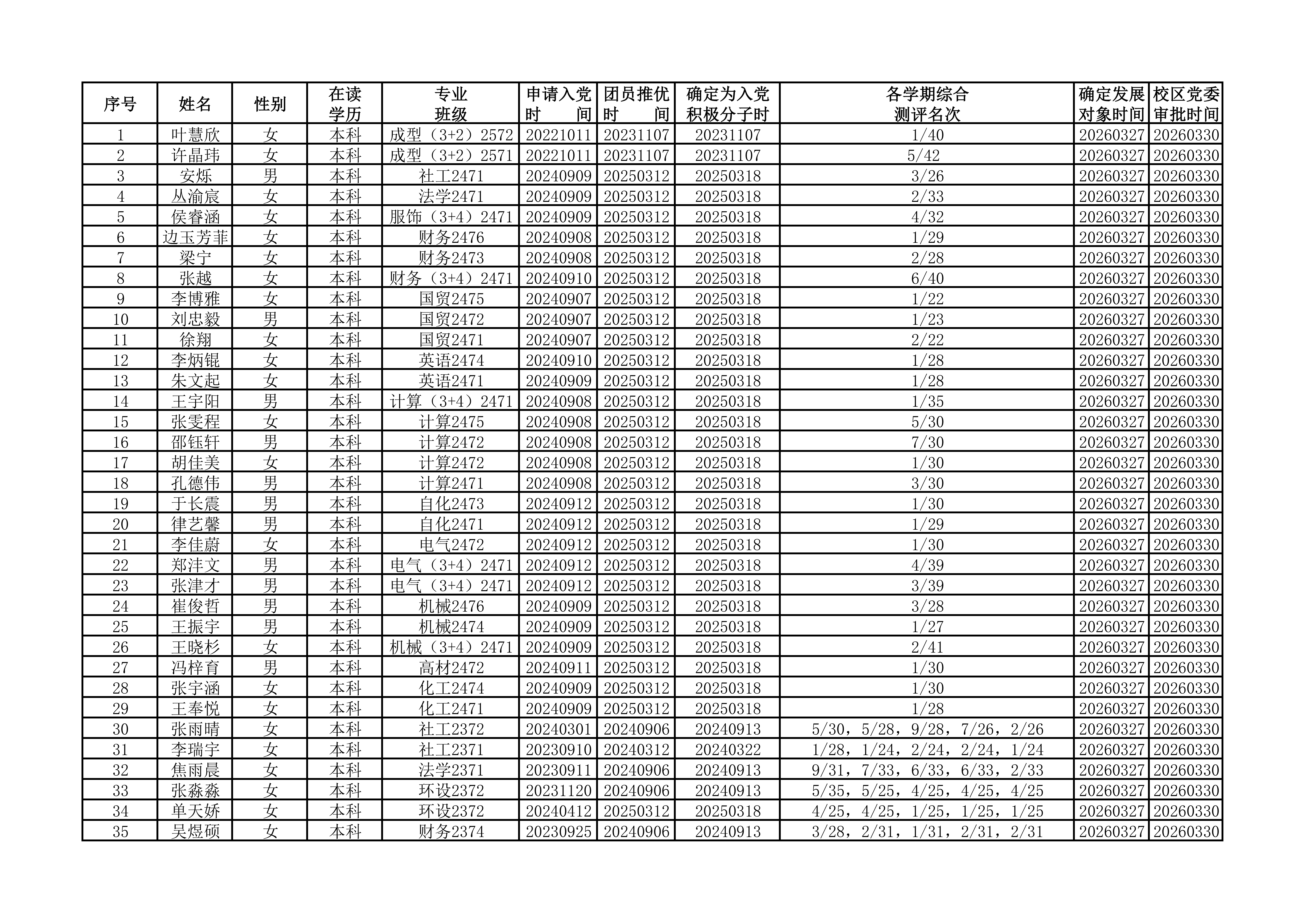
根据学校党委《关于发展学生(教工)党员工作的意见》(青科大党字〔2014〕77 号)文件要求,经各学生党支部考察培养、校区党委审批,现将 2026 年上半年各学生党支部拟推荐发展学生党员名单予以公示,公示期为 2026 年 03月 30日至 2026 年 04月 03日。欢迎广大师生向校区党委或所在学生党支部反映有关情况。

联系人(电话):贾媛媛(2537316) 李鹏飞(2532118)

地点:图书馆916

中共青岛科技大学高密校区委员会

2026年03月30日

下一篇